ПОРТФЕЛЬ
Підручники
Д
омашні
з
авдання
ДЗ
8 клас
Алгебра
Мерзляк (поглиблене вивчення) 2021 рік
Номер 3.12
Повідомити про помилку
« Назад
Вперед »
Номер 3.8
Номер 3.9
Номер 3.10
Номер 3.11
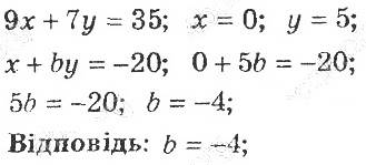
Номер 3.12
Номер 3.13
Номер 3.14
Номер 3.15
Номер 3.16
Повідомити про помилку
×
Текст повідомлення*
Cтoлиця Уkpaїни?*
Надіслати