ПОРТФЕЛЬ
Підручники
Д
омашні
з
авдання
ДЗ
8 клас
Алгебра
Мерзляк (поглиблене вивчення) 2021 рік
Номер 3.29
Повідомити про помилку
« Назад
Вперед »
Номер 3.25
Номер 3.26
Номер 3.27
Номер 3.28
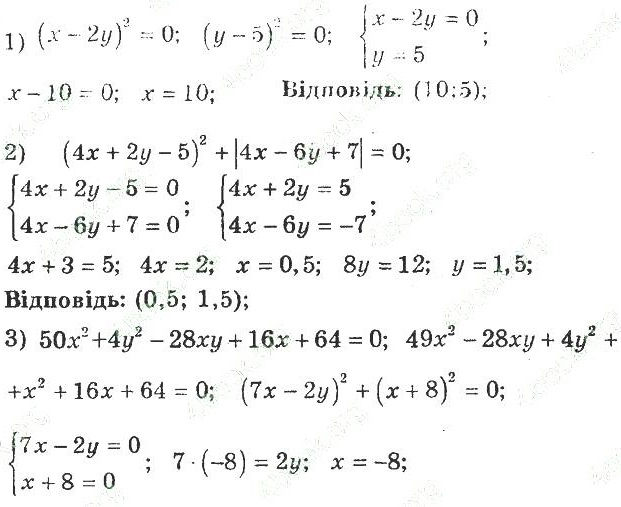
Номер 3.29
Номер 4.1
Номер 4.2
Номер 4.3
Номер 4.4
Повідомити про помилку
×
Текст повідомлення*
Cтoлиця Уkpaїни?*
Надіслати