ПОРТФЕЛЬ
Підручники
Д
омашні
з
авдання
ДЗ
8 клас
Алгебра
Мерзляк (поглиблене вивчення) 2021 рік
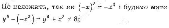
Номер 3.6
Повідомити про помилку
« Назад
Вперед »
Номер 3.2
Номер 3.3
Номер 3.4
Номер 3.5
Номер 3.6
Номер 3.7
Номер 3.8
Номер 3.9
Номер 3.10
Повідомити про помилку
×
Текст повідомлення*
Cтoлиця Уkpaїни?*
Надіслати