ПОРТФЕЛЬ
Підручники
Д
омашні
з
авдання
ДЗ
8 клас
Алгебра
Мерзляк (поглиблене вивчення) 2021 рік
Номер 4.19
Повідомити про помилку
« Назад
Вперед »
Номер 4.15
Номер 4.16
Номер 4.17
Номер 4.18
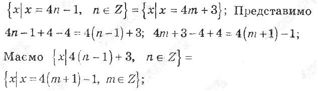
Номер 4.19
Номер 5.1
Номер 5.2
Номер 5.3
Номер 5.4
Повідомити про помилку
×
Текст повідомлення*
Cтoлиця Уkpaїни?*
Надіслати