ПОРТФЕЛЬ
Підручники
Д
омашні
з
авдання
ДЗ
8 клас
Алгебра
Мерзляк (поглиблене вивчення) 2021 рік
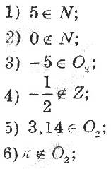
Номер 4.5
Повідомити про помилку
« Назад
Вперед »
Номер 4.1
Номер 4.2
Номер 4.3
Номер 4.4
Номер 4.5
Номер 4.6
Номер 4.7
Номер 4.8
Номер 4.9
Повідомити про помилку
×
Текст повідомлення*
Cтoлиця Уkpaїни?*
Надіслати