ПОРТФЕЛЬ
Підручники
Д
омашні
з
авдання
ДЗ
8 клас
Алгебра
Мерзляк (поглиблене вивчення) 2021 рік
Номер 5.30
Повідомити про помилку
« Назад
Вперед »
Номер 5.26
Номер 5.27
Номер 5.28
Номер 5.29
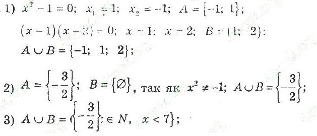
Номер 5.30
Номер 5.31
Номер 5.32
Номер 5.33
Номер 5.34
Повідомити про помилку
×
Текст повідомлення*
Cтoлиця Уkpaїни?*
Надіслати