ПОРТФЕЛЬ
Підручники
Д
омашні
з
авдання
ДЗ
8 клас
Алгебра
Мерзляк (поглиблене вивчення) 2021 рік
Номер 6.9
Повідомити про помилку
« Назад
Вперед »
Номер 6.5
Номер 6.6
Номер 6.7
Номер 6.8
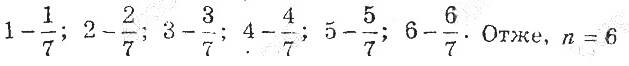
Номер 6.9
Номер 6.10
Номер 6.11
Номер 6.12
Номер 6.13
Повідомити про помилку
×
Текст повідомлення*
Cтoлиця Уkpaїни?*
Надіслати