ПОРТФЕЛЬ
Підручники
Д
омашні
з
авдання
ДЗ
8 клас
Алгебра
Мерзляк (поглиблене вивчення) 2021 рік
Номер 8.19
Повідомити про помилку
« Назад
Вперед »
Номер 8.15
Номер 8.16
Номер 8.17
Номер 8.18
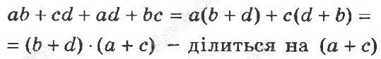
Номер 8.19
Номер 8.20
Номер 8.21
Номер 8.22
Номер 8.23
Повідомити про помилку
×
Текст повідомлення*
Cтoлиця Уkpaїни?*
Надіслати