ПОРТФЕЛЬ
Підручники
Д
омашні
з
авдання
ДЗ
8 клас
Геометрія
Істер 2021 рік
Номер 979
Повідомити про помилку
« Назад
Вперед »
Номер 975
Номер 976
Номер 977
Номер 978
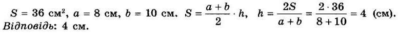
Номер 979
Номер 980
Номер 981
Номер 982
Номер 983
Повідомити про помилку
×
Текст повідомлення*
Cтoлиця Уkpaїни?*
Надіслати