ПОРТФЕЛЬ
Підручники
Д
омашні
з
авдання
ДЗ
8 клас
Геометрія
Істер 2021 рік
Номер 982
Повідомити про помилку
« Назад
Вперед »
Номер 978
Номер 979
Номер 980
Номер 981
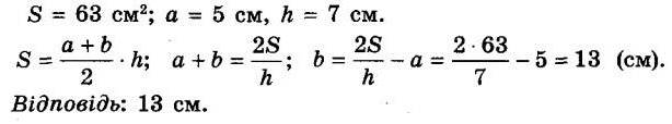
Номер 982
Номер 983
Номер 984
Номер 985
Номер 986
Повідомити про помилку
×
Текст повідомлення*
Cтoлиця Уkpaїни?*
Надіслати