ПОРТФЕЛЬ
Домашні завдання
Підручники
ДЗ
9 клас
Геометрія
Мерзляк 2017 рік
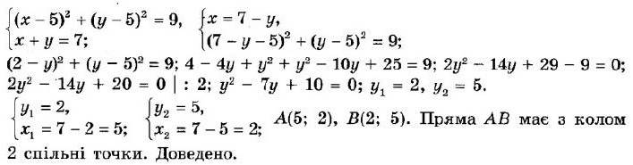
Номер 10.17
Номер 10.17
Повідомити про помилку
« Назад
Вперед »
Номер 10.13
Номер 10.14
Номер 10.15
Номер 10.16
Номер 10.17
Номер 10.18
Номер 10.19
Номер 10.20
Номер 10.21
Повідомити про помилку
×
Текст повідомлення*
Cтoлиця Уkpaїни?*
Надіслати