ПОРТФЕЛЬ
Домашні завдання
Підручники
ДЗ
9 клас
Геометрія
Мерзляк 2017 рік
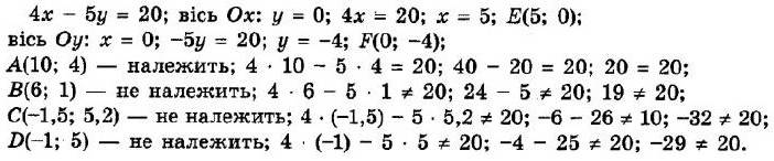
Номер 10.2
Номер 10.2
Повідомити про помилку
« Назад
Вперед »
Номер 9.27
Номер 9.28
Номер 9.29
Номер 10.1
Номер 10.2
Номер 10.3
Номер 10.4
Номер 10.5
Номер 10.6
Повідомити про помилку
×
Текст повідомлення*
Cтoлиця Уkpaїни?*
Надіслати