ПОРТФЕЛЬ
Домашні завдання
Підручники
ДЗ
9 клас
Геометрія
Мерзляк 2017 рік
Номер 10.22
Номер 10.22
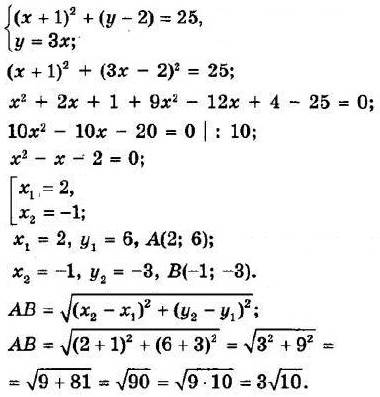
Знайдіть довжину хорди кола (
x
+ 1)
2
+ (
y
– 2)
2
= 25, яка лежить на прямій
y
= 3
x
.
Повідомити про помилку
« Назад
Вперед »
Номер 10.18
Номер 10.19
Номер 10.20
Номер 10.21
Номер 10.22
Номер 10.23
Номер 10.24
Номер 10.25
Номер 10.26
Повідомити про помилку
×
Текст повідомлення*
Cтoлиця Уkpaїни?*
Надіслати