ПОРТФЕЛЬ
Домашні завдання
Підручники
ДЗ
9 клас
Геометрія
Мерзляк 2017 рік
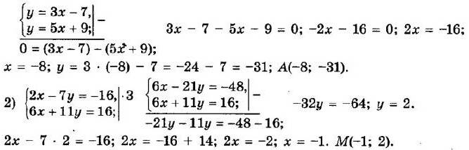
Номер 10.9
Номер 10.9
Повідомити про помилку
« Назад
Вперед »
Номер 10.5
Номер 10.6
Номер 10.7
Номер 10.8
Номер 10.9
Номер 10.10
Номер 10.11
Номер 10.12
Номер 10.13
Повідомити про помилку
×
Текст повідомлення*
Cтoлиця Уkpaїни?*
Надіслати