ПОРТФЕЛЬ
Домашні завдання
Підручники
ДЗ
9 клас
Геометрія
Мерзляк 2017 рік
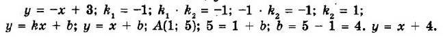
Номер 11.16
Номер 11.16
Повідомити про помилку
« Назад
Вперед »
Номер 11.12
Номер 11.13
Номер 11.14
Номер 11.15
Номер 11.16
Номер 11.17
Номер 11.18
Номер 11.19
Номер 11.20
Повідомити про помилку
×
Текст повідомлення*
Cтoлиця Уkpaїни?*
Надіслати