ПОРТФЕЛЬ
Домашні завдання
Підручники
ДЗ
9 клас
Геометрія
Мерзляк 2017 рік
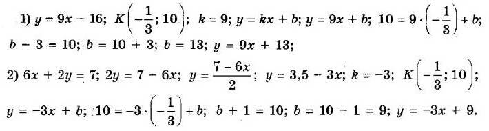
Номер 11.8
Номер 11.8
Повідомити про помилку
« Назад
Вперед »
Номер 11.4
Номер 11.5
Номер 11.6
Номер 11.7
Номер 11.8
Номер 11.9
Номер 11.10
Номер 11.11
Номер 11.12
Повідомити про помилку
×
Текст повідомлення*
Cтoлиця Уkpaїни?*
Надіслати