ПОРТФЕЛЬ
Домашні завдання
Підручники
ДЗ
9 клас
Геометрія
Мерзляк 2017 рік
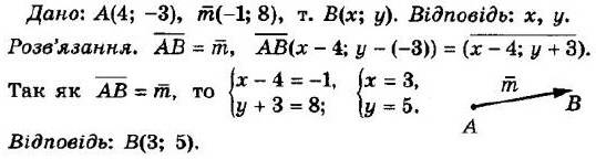
Номер 13.8
Номер 13.8
Повідомити про помилку
« Назад
Вперед »
Номер 13.4
Номер 13.5
Номер 13.6
Номер 13.7
Номер 13.8
Номер 13.9
Номер 13.10
Номер 13.11
Номер 13.12
Повідомити про помилку
×
Текст повідомлення*
Cтoлиця Уkpaїни?*
Надіслати