ПОРТФЕЛЬ
Домашні завдання
Підручники
ДЗ
9 клас
Геометрія
Мерзляк 2017 рік
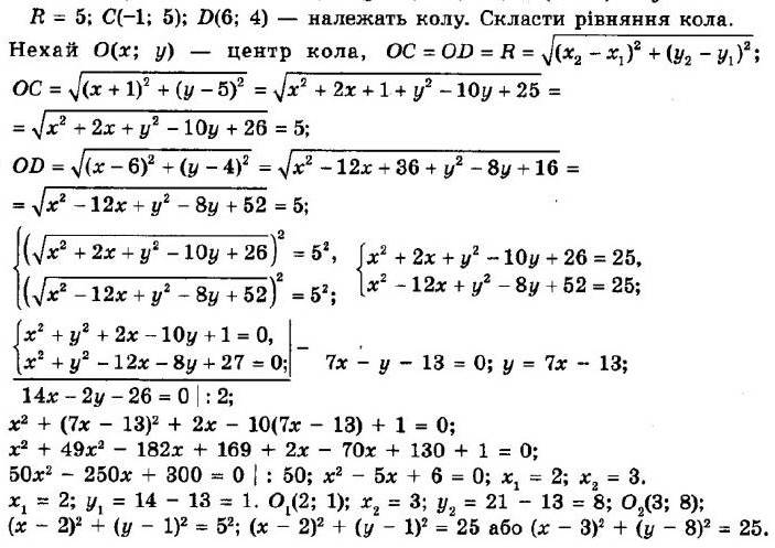
Номер 9.22
Номер 9.22
Повідомити про помилку
« Назад
Вперед »
Номер 9.17
Номер 9.18
Номер 9.19
Номер 9.21
Номер 9.22
Номер 9.23
Номер 9.24
Номер 9.25
Номер 9.26
Повідомити про помилку
×
Текст повідомлення*
Cтoлиця Уkpaїни?*
Надіслати