ПОРТФЕЛЬ
Домашні завдання
Підручники
ДЗ
9 клас
Геометрія
Мерзляк 2017 рік
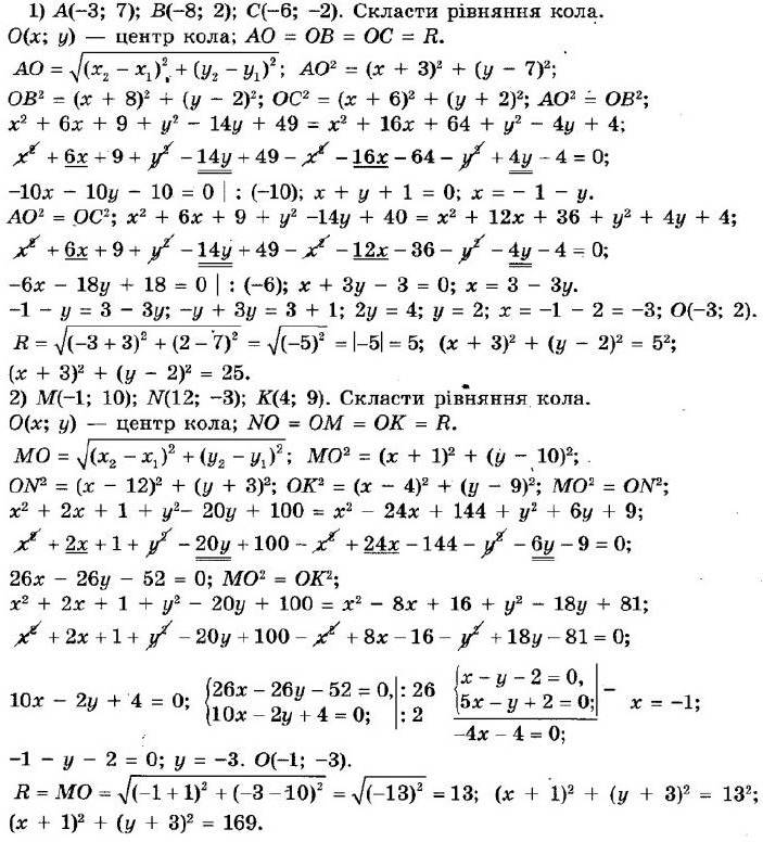
Номер 9.26
Номер 9.26
Повідомити про помилку
« Назад
Вперед »
Номер 9.22
Номер 9.23
Номер 9.24
Номер 9.25
Номер 9.26
Номер 9.27
Номер 9.28
Номер 9.29
Номер 10.1
Повідомити про помилку
×
Текст повідомлення*
Cтoлиця Уkpaїни?*
Надіслати