ПОРТФЕЛЬ
Підручники
Д
омашні
з
авдання
ДЗ
9 клас
Геометрія
Мерзляк (збірник задач і контрольних робіт) 2017 рік
Варіант 3. Номер 2
Повідомити про помилку
« Назад
Вперед »
Варіант 2. Номер 171
Варіант 2. Номер 173
Варіант 2. Номер 290
Варіант 3. Номер 1
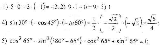
Варіант 3. Номер 2
Варіант 3. Номер 3
Варіант 3. Номер 4
Варіант 3. Номер 7
Варіант 3. Номер 8
Повідомити про помилку
×
Текст повідомлення*
Cтoлиця Уkpaїни?*
Надіслати